当前位置:产品中心
产品中心
products center
产品中心
丙烯酸-2-丙烯酰胺-2-甲基丙磺酸共聚物 AA/AMPS

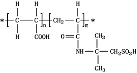
结构式:

一、性能与用途

AA/AMPS为丙烯酸与2-丙烯酰胺-2-甲基丙磺酸(AMPS)共聚而成。由于分子结构中含有阻垢分散性能好的羧酸基和强极性的磺酸基,能提高钙容忍度,对水中的磷酸钙、碳酸钙、锌垢等有显著的阻垢作用,防止氧化铁的沉积,尤其对磷酸钙阻垢率高。并且分散性能优良。与有机膦复配,增效作用明显。特别适合高pH、高碱度、高硬度的水质,是实现高浓缩倍数运行的最理想的阻垢分散剂之一。

AA/AMPS还可用作纺织印染助剂;造纸系统纸浆的阻垢剂。

二、技术指标 符合HG/T3642-1999

项目 指标
外观 无色至淡黄色粘稠液体
固体含量% 30.0 40.0
游离单体(以丙烯酸计)% 0.5 0.8
密度(20°C)g/cm3 1.10 1.15
极限粘数(30°C)dl/g 0.055-0.100 --
pH(1%水溶液) 2.0-3.0 3.5-4.5

三、使用方法

AA/AMPS可与有机膦酸盐、锌盐复合使用,适于pH条件为7.0-9.5。

四、包装与贮存

AA/AMPS为塑料桶包装,每桶25kg、200kg或250kg,也可根据用户要求确定。AA/AMPS贮存期为十个月。

五、安全与防护

AA/AMPS为酸性,操作时注意劳动保护,应避免与皮肤、眼睛等接触,接触后用大量清水冲洗。


返回