当前位置:产品中心
产品中心
products center
产品中心
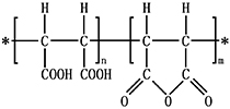
水解聚马来酸酐 HPMA

别名:聚马来酸

结构式:

一、性能与用途

HPMA一般相对分子量为400-800,无毒,易溶于水,化学稳定性及热稳定性高,分解温度在330°C以上。HPMA适用于碱性环境。由于HPMA阻垢性能和耐高温性能优异,因此在海水淡化的闪蒸装置中和低压锅炉及工业循环冷却水中得到广泛使用。另外HPMA有一定的缓蚀作用,与锌盐复配缓蚀效果更好。

HPMA还可用于水泥外加剂,盐碱土壤改良剂。

二、技术指标符合GB/T10535-1997

项目 指标
外观 浅黄色至棕红色透明液体
固体含量% 48.0
溴值mg/g 80.0
密度(20°C)g/cm3 1.18
pH(1%水溶液)   2.0-3.0

三、使用方法

HPMA单独使用时一般使用浓度为1-15mg/L,常与有机膦酸盐复合,用于循环冷却水处理及低压锅炉的炉内处理,具有良好的抑制水垢生成和剥离老垢的作用,阻垢率可达98%,EDTMPS与HPMA按1:3比例复配后,可用于低压锅炉炉内水处理;HPMA与锌盐复配时,能有效地防止碳钢的腐蚀。

四、包装与贮存

HPMA为塑料桶包装,每桶25kg或由用户确定。贮存期为十个月。

五、安全与防护

HPMA为酸性,操作时注意劳动保护,应避免与皮肤、眼睛等接触,接触后用大量清水冲洗。


返回