当前位置:产品中心
产品中心
products center
产品中心
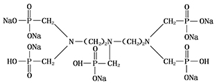
二乙烯三胺五甲叉膦酸七钠 DTPMP·Na7

分子式:C9H21O15N3P5Na7

相对分子质量:727

结构式:

一、性能与用途

DTPMP·Na7可用作阻垢剂、高效螯合剂、优良的BaSO4阻垢剂,DTPMP·Na7广泛用于冷却水处理、过氧化物漂白的稳定剂、洗涤助剂、市政工业清洁用水、地热水处理、油田阻垢。

二、技术指标

项目 指标
外观 红棕色液体
活性组分(以DTPMPA计) % 31.5-33.5 24.0-26.0
活性组分(以DTPMP·Na7计) % 40.0-42.5 30.5-33.0
总磷含量(以PO43-计) % 25.9-27.9 19.7-21.7
氯化物(以Cl-计) % 5.0 5.0
Fe(以Fe2+计)含量mg/L 20.0 20.0
pH(1%水溶液) 7.0-9.0 7.0-9.0
pH(原液) 6.0-8.0 6.0-8.0
密度(20°C) g/cm3 1.34-1.44 1.24-1.34

三、包装与贮存

DTPMP·Na7用塑料桶包装,每桶25kg或250kg,也可根据用户需要确定。贮于室内阴凉处,贮存期十个月。

四、安全防护

DTPMP·Na7为中性,操作时注意劳动保护,应避免与皮肤、眼睛等接触,接触后用大量清水冲洗。


返回