当前位置:产品中心
产品中心
products center
产品中心
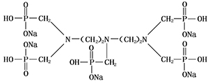
二乙烯三胺五甲叉膦酸五钠 DTPMP·Na5

分子式:C9H23O15N3P5Na5

相对分子质量:683.2

结构式:

一、性能与用途

DTPMP·Na5是一种中性产品,DTPMP·Na5无毒,在水处理中用作循环冷却水和锅炉水的阻垢缓蚀剂。

DTPMP·Na5可用做过氧化物稳定剂、纺织印染用螯合剂、颜料的分散剂、化肥中微量元素携带剂、混凝土添加剂。此外,在造纸、电镀和化妆品等方面也得到了广泛应用。

二、技术指标

项目 指标
外观 琥珀色透明液体
活性组分(以DTPMPA计) % 24.0-26.0
活性组分(以 DTPMP·Na5计) % 28.5-31.0
总磷含量(以PO43-计) % 19.7-21.7
氯化物(以Cl-计) % 5.0
密度(20°C)g/cm3 1.25
Fe(以Fe2+计)含量mg/L 20.0
pH(1%水溶液) 6.0-8.0

三、包装与贮存

DTPMP·Na5液体用料塑桶包装,每桶25kg或250kg,贮于室内阴凉干燥处,防潮,贮存期为十个月。

四、安全防护
DTPMP·Na5为中性,操作时注意劳动保护,应避免与皮肤、眼睛等接触,接触后用大量清水冲洗。


返回